本文来自微信公众号“泽平宏观”,作者任泽平、甘源。

文:恒大研究院 任泽平 甘源
导读
2016年底-2017年初金融去杠杆拉开帷幕。在近两年的时间里,广义货币供应增速M2创历史新低,影子银行快速收缩,社会融资规模尤其表外融资大幅下降。并进而引发了资产价格调整、中小企业融资难贵、信用债风险、股权融资爆仓、P2P爆雷等一系列多米诺骨牌效应。本文旨在研究货币创造的渠道和规模,以及去杠杆如何影响货币创造。
摘要
货币创造的理论研究能够帮助解释实践中的货币问题,尤其是随着衍生品/影子银行等新兴渠道在货币创造中的重要性提升。在理论中,货币供给的研究范围从商品领域拓展到资本领域和衍生品领域。但是,在实践中,货币供给层次的划分和统计,目前尚未有国家把资本市场、衍生品市场中流通的货币考虑在内。这也间接带来了一些影响,如20世纪末美国M1和CPI背离的货币失踪之谜;2008年衍生品过度膨胀带来的金融危机;危机之后美国的基础货币反超M1的货币政策失灵现象。
目前中国货币创造完整渠道包括三个层次:1)央行投放基础货币、2)商业银行传统表内贷款/外汇/债券货币创造、3)商业银行影子银行货币创造。第一层渠道,央行主要是通过稳定的外汇占款和重要性不断提高的对金融机构债权来投放基础货币。第二层渠道,商业银行表内主要是通过发放贷款、购买外汇、购买债券来进行货币创造。第三层渠道,银行把受监管较多资本消耗较高的贷款资产项目转变为受监管较少资本消耗较低的资产或表外资产,进行货币创造。主要包括,银行同业渠道即银银合作,非银投资渠道即银信/证/基/保/资合作,两种方式。值得注意的是,非保本型理财产品只是目前尚未利率市场化的一种“高息揽储”的行为,非银行金融机构出售产品给居民购买是货币转移改变了存款结构,都不能产生货币创造。
货币创造渠道在过去几年发生了较大的变化,货币创造能力下降,货币供给增长率处于历史低点,贷款和债券成为目前新增货币的仅有的两种渠道,影子银行收缩拖累货币供给增长。在经过06-13年快速增长之后,目前基础货币增速处于历史低位,其中,对金融机构债权渠道重要性提高,占比基础货币由2014年的8%上升到2018年的40%左右。发放贷款一直是货币创造的第一大渠道,2017年4月之后,购买债券成为第二大渠道。2010-2016年影子银行快速发展,2016年曾经成为第二大渠道,甚至2016年10月新增量接近贷款增量。但去杠杆主要是收缩表外的方式大幅降低了货币规模:2017年随着监管趋严,金融去杠杆、资管新规出台,表外新增下滑至负增长,目前是货币创造渠道中规模最小的。
货币创造渠道的变化改变了货币供给也改变了货币需求,同时增加了金融市场的不稳定性,加大货币政策调控难度。建议在货币政策的流动性管理方面,不仅要关注M2还要关注社融、货币创造的其他渠道,可以发展包含资本市场流动情况的M3、M4指标。同时,抓住外汇占款总额稳定阶段,建立价格型货币政策调控体系,推进利率市场化改革;完善宏观审慎,在不打击影子银行支持实体经济借贷的情况下守住影子银行膨胀带来的金融风险,不搞一刀切和运动式监管;发展直接融资市场,建立多层次资本市场,加强板块间分工明确,满足不同企业和投资者的投融资需求。
全面客观看待影子银行发展的利弊。中国是信贷主导的中介模式,影子银行是传统金融的补充。风险点在于产品设计的不合理带来的流动性风险、期限错配风险和收益错配风险,以及参与主体中的过剩产业、房地产产业、地方融资平台等顺周期行业所带来的信用风险。但是也要看到,影子银行发展客观上缓解了金融系统长期存在的中小微企业融资难贵问题,完善了信贷市场发展,美国影子银行最初发展也对美国经济发展起来了重要而积极的正面作用。在守住金融系统风险时,切不可“一刀切”的全盘否定,需加强监管和制度约束,引导影子银行向合规、健康、可持续的方向发展。
风险提示:外汇占款大幅下降,影子银行收缩幅度过大等
目录
1 货币创造和什么相关? ——理论与实际的对比
1.1 理论中的货币和什么相关?
1.2 实践中的货币和什么相关?
2 货币是怎么创造的? ——中国货币创造的渠道分析
2.1 第一层渠道:中央银行的基础货币投放
2.2 第二层渠道:商业银行的贷款信用创造-传统模式
2.3 第三层渠道:影子银行的货币创造-逃避监管下的新模式
3 中国货币创造的结构:不同渠道的规模分析
3.1 货币创造规模的统计方法
3.2 货币创造规模的存量分析
3.3 货币创造规模的增量分析
4 货币创造渠道的变化对货币政策的建议
4.1 货币创造渠道的变化对货币政策的挑战
4.2 货币创造渠道的变化对货币政策的建议
正文
1 货币创造和什么相关?——理论与实际的对比
随着经济金融的发展,货币的外延性不断增加。要想了解货币是如何创造的,得首先知道什么是货币,货币供给的统计范畴有哪些。目前货币不仅仅涉及商品领域,更是深入到资本市场和衍生品市场。本章节将从理论和实践中对不同领域的货币供给进行介绍。
1.1理论中的货币和什么相关?
经济学家关于货币的研究已经从一开始研究商品领域流通的货币情况,拓展到侧重资本领域的货币数量,到如今越来越多的经济学家开始研究货币在衍生品领域的流通情况。
第一阶段:18世纪到20世纪30年代,古典经济学侧重商品领域的货币研究。古典学派认为货币也是一种商品,本身不是财富,不过是一种交换媒介和流通工具。其中,最为重要的就是费雪的货币数量论和剑桥学派的现金余额说。费雪强调货币的交易媒介功能,认为货币数量取决于名义国民收入,决定商品价格。剑桥学派强调货币的交易媒介和价值贮藏功能,认为货币数量取决于收入水平和现金余额占收入的比重。

第二阶段:20世纪30年代-70年代,凯恩斯主义开始注重资本领域的货币研究。
1929—1933年的经济大萧条之后,凯恩斯主义崛起。除了古典经济学提出的货币的交易和贮藏功能,凯恩斯提出了货币的另一个重要的功能-投机功能。自此,货币的研究领域从商品市场扩展到资本市场!
凯恩斯认为货币的本质是流动性,货币数量由持币的三个动机决定:交易动机、谨慎动机、投机动机,相对应三个需求:交易需求、谨慎需求、投机需求。1)交易动机强调货币的交易媒介,主要取决于收入水平,本身对经济没有实质影响;2)谨慎动机强调货币的贮藏手段,主要取决于收入水平,是财富的一种表现形式;3)投机动机强调货币的投机功能,主要取决于利率水平,是凯恩斯区别其他的一个重要特征。人们根据对市场利率的判断,为避免资产损失或增加收益,及时调整资产结构,创造新的财富。
M=M1+M2=L1(Y)+L2(r)
其中L1(Y)代表与收入Y相关的交易需求和谨慎需求,L2(r)代表与利率r相关的投机性货币需求。

根据凯恩斯的货币的本质是流动性,20世纪60年代货币主义学派弗里德曼提出货币也是一种资产,是债券、股票、商品的替代品,其数量取决于恒久性收入、财富中人力财富与非人力财富比例、货币及其他资产的价格和收益、持有者偏好。区别于早期认为的市场是充分就业的,弗里德曼认为针对货币变化的调整是需要很长时间的,所以货币供给会影响产量和名义收入,先影响产量后影响价格。
弗里德曼不仅从理论上研究了货币数量,还从实践中进行分析,统计和分析了美国货币存量。在货币学派的影响下,各国越来越重视对货币层次的划分和统计。美联储从1960年开始公布货币统计数据,英国从1970年开始公布M1M2M3,等等。
M/P=f(r,Y,h,i,u)
其中,M/P是实际货币需求,r是一组收益率,如债券利率和股票市场收益。Y是永久性收入,h是人力资本对非人力资本的比率,i是预期通货膨胀率,u是一个混合变量,它反映了嗜好和偏爱的变动。
第三阶段:20世纪70年代后,伴随着金融自由化的思想浪潮,货币研究拓展到衍生品市场,研究金融创新对货币数量的影响。70年代,布雷顿森林体系崩溃,浮动汇率取代固定汇率。为了对冲汇率波动的风险,1972年,世界第一份金融衍生品合约-外汇期货产生。随着金融市场的不断发展,金融工具的不断创新,衍生品种类不断丰富,交易金额不断创新高,资金不断流入资本市场和衍生品市场。理论上,同年代的麦金龙和肖提出金融深入论,认为政府应放弃对金融市场和体系的过分干预,放松对利率和汇率的控制。所以,在浮动汇率下,受益于金融自由化的洗礼,各国对可以规避风险、套期保值的衍生品越发重视。

1.2 实践中的货币和什么相关?
一般来说,西方经济学家根据货币的变现能力将货币分为以下5个层次。M0=现金;M1=现金+活期存款;M2=M1+储蓄存款+定期存款;M3=M2+非银行金融机构的存款;M4=M3+金融机构外的短期金融工具。但是各国有各自的划分标准,不同时期的货币层次划分也可能不相同,基本思路都是按照货币的流动性进行划分。(详见报告《货币层次剖析,解读M1、M2》)

2003年12月,中国人民银行发布《关于修订中国货币供应量统计方案的研究报告》提出我国货币供应量统计的六项原则,即相关性增强原则、可测性原则和成本效益比较原则、连续性原则、流动性原则、价值储藏手段原则和与国际接轨原则。
目前我国公布的货币层次有M0、M1、M2。
1)流通中的现金M0:M0指的是央行资产负债表中的货币发行减去其他存款性公司资产负债表里的库存现金,包括境外流通的人民币。
2)狭义货币供应量M1=M0+企业活期存款+机关、团体、部队存款+农村存款+个人持有的信用卡存款。
3)广义货币供应量M2=M1+城乡居民储蓄存款+企业存款中具有定期性质的存款+信托类存款+其他存款。
其他存款包括应解汇款及临时存款、保证金、财政预算外存款、租赁保证金、证券公司客户保证金(90%)、非存款类金融机构在存款类金融机构的存款(包含货币基金存款)及住房公积金存款等。


可以看出,各国划分货币层次的标准都是从流动性入手,可以直接行使货币交易媒介功能的划入M1,需要转化成现金才能进行商品和劳务购买的称为准货币,划入M2。M2更多的是重视了货币的价值贮藏功能。
但目前尚未有国家把股票纳入货币层次之中,更别提金融衍生品、表外理财等影子银行产品。随着金融市场的发展,一些国家已经把基金、债券等资本市场产品纳入货币供给体系中。和债券相比,股票作为直接融资重要的工具之一,甚至股票市场比债券市场发展更要成熟;和基金相比,股票也可以较为容易的转化为现金。作为和基金、债券一样的准货币,股票尚未被纳入广义流动性中,是央行监管流动性中的一大不足。在货币创造中也很少考虑衍生品等影子银行所带来的影响,这带来了一些问题。

第一,20世纪末的货币失踪之谜。经济学家通过对货币需求模型估算出来的货币数量要大于实际中的货币余额。这正是因为实际中的货币余额未考虑流入到资本市场和衍生品市场中的货币数量,导致实际数量低于理论值。这也解释了美国20世纪90年代以来货币供给与通胀之间的背离,即货币供给增加并未影响通胀现象。虽然货币供给量M1有所增加,但是通胀指数CPI考察的是实体经济中的通胀数据,并不能考察到流入资本市场和衍生品市场导致的资产价格的波动。所以M1和CPI的方向出现了不一致。

第二,2008年的金融危机。由于实际操作中未考虑到衍生品市场,政府对其监管也较少,从而导致原本是规避风险的衍生品放大了金融市场的波动导致了金融危机的出现。一方面,衍生品市场的发展使得房地产市场和金融市场紧密相连,当房地产出现问题时,危机迅速蔓延至金融市场,从而导致了全球危机;另一方面,由于缺乏监管,原本是转移风险的衍生品过度创新变成了投机套利的工具,追逐资本收益,再加上衍生品本身的高杠杆产生的放大器作用,使得金融风险被扩大导致了全球危机。这也是中国加强影子银行监管的一大原因。

第三,2008年后的货币政策失灵。美国在2009年至2011年的“宽货币”未导致“宽信用”的现象。金融危机之后,美国希望通过美联储扩大货币流动性投放基础货币来注资商业银行,通过商业银行的货币创造来增加市场流动性以逆周期刺激经济增长。但在实际操作中,货币创造过程堵塞,货币传导机制不畅,货币倒流,货币政策有效性降低,货币政策失灵。具体表现是一直低于M1金额的基础货币,在2009年之后,居然金额一直反超。一部分原因就是存款不是实体经济和个人财富的唯一形式,财富还可以投资于资本市场和衍生品市场,创造流动性。这也是目前中国货币政策面临的一大问题。

2 货币是怎么创造的?——中国货币创造的渠道分析
在第一部分中,我们基于理论与实践层面介绍了货币与哪些因素相关。在本部分中,我们将重点介绍我国货币创造的实践。
如果把经济体划分为中央银行、银行、非银行金融机构、非金融企业、居民5大部门,那么,其中,中央银行掌握着货币创造的总闸门,提供货币创造的基础-基础货币;银行通过客户存款的增加进行货币信用创造,是唯一的货币创造部门;其余3个部门之间的货币往来是存款的转移,货币总量并未发生变化,并不能货币创造,只是货币转移型信用。

2.1 第一层渠道:中央银行的基础货币投放
基础货币也称为高能货币:所谓基础,指的是它是整个货币创造体系的基础;所谓高能,指的是它可以创造出数倍于自身的货币余额。它由存款准备金和货币发行组成,其中存款准备金包括法定存款准备金和超额存款准备金。由于央行可以直接控制和调整,所以第一层货币创造的渠道就是中央银行的基础货币投放。
由于基础货币在央行资产负债表科目之中,根据“资产=负债”,我们可以得出,理论上:
基础货币=(国外资产-国外负债)+(对政府债权-政府存款)+对其他存款性公司债权+对其他金融性公司债权+对非金融机构债权+(其他资产-其他负债)-债券发行-自有资金。
由于一些科目占比太小,可作忽略,上述公式可以简化为如下的基础货币公式:
基础货币≈国外净资产+对政府净债权+对金融机构债权-债券发行。
公式左边反映基础货币投放量的变化:在经过2006-2013年快速增长之后,央行基础货币投放目前处于历史较低增长率水平,甚至有下滑的趋势,显示目前央行货币政策还是较紧的。截至2018年9月,基础货币投放31.79万亿元,其中货币发行规模7.81万亿元、存款准备金23.98万亿元。从规模来看,自中国加入WTO以后,基础货币同比增速波动较大,最高达到49.19%。后随着外汇占款的趋稳,基础货币投放增长率明显下行,2016年、2017年、2018年同比增速分别为1.29%、5.61%、3.51%。从占比来看,存款准备金是基础货币主要组成部分。2011年以后,存款准备金基本稳定占比75%。

基础货币公式右边反映了我国基础货币投放渠道发生的重要变化。
1)国外净资产是基础货币投放的主要渠道,但随着稳定性的提高,重要性有所下降。国外净资产的主要组成部分是外汇占款,过去由于中国的双顺差,外汇占款在央行资产负债表中比重不断提高,导致国外净资产投放的基础货币不断上升,最高在2009年10月占比141%。后随着中国贸易结构的改善,由国外净资产投放的基础货币目前稳定占比70%。由于外汇占款是央行所不能主动把控的,所以随着外汇占款占比的下滑,央行被动投放基础货币的局面也有所改善。
2)对金融机构债权是基础货币投放的重要渠道,央行基础货币投放灵活性、主动性增强。为了对冲外汇占款的下滑对基础货币投放的冲击,对金融机构债权的占比由2014年3月的7.72%上升到2018年9月的36.26%。对金融机构债权的投放渠道主要是央行的公开市场操作,所以随着其占比的上升,公开市场操作常态化,央行可以主动管理货币投放。
3)债券发行已退出历史舞台。债券发行的主要组成部分是央票,是为了对冲外汇占款的影响,回笼基础货币资金使用的工具。随着外汇占款占比的稳定、公开市场操作的发展,债券发行由最高占比的-51.48%下降到目前的0。

可以看出,央行目前已掌握基础货币投放的主动权,主要是通过公开市场操作渠道来进行投放,主要工具是OMO、MLF、PSL等。这些工具和无期限无成本的外汇占款相比,期限较短且有成本。这有助于货币政策从数量型向价格型转变,但也带来了一定的问题。
第一,由于期限较短,且商业银行是被动接受,故不适于用于放贷。贷款投放很多是长期资金,而公开市场操作获得的资金期限较短,期限错配风险较大。同时,商业银行必须得依赖央行的货币政策工具进行资产负债管理,非常不稳定,有潜在的流动性风险。所以,这部分资金其实相比于外汇占款、存款获得的资金不适于放贷。
第二,由于公开市场交易商仅限于部分银行,所以容易创造金融市场的不均衡。央行的公开市场操作主要针对的是一级交易商,同时PSL是定向供给政策性银行,所以大型银行容易获得资金,中小银行无法获得这类资金。这导致了大型银行相当于“影子中央银行”,催生了同业存单市场的火爆、影子银行的崛起,也导致了金融机构之间的不均衡。
2.2 第二层渠道:商业银行的贷款信用创造-传统模式
商业银行通过增加资产业务来扩大负债,从而增加存款,创造货币。传统模式下,商业银行增加资产的方式主要包括发放贷款、购买外汇、持有债券3种方式。
1)银行发放贷款是商业银行货币创造最传统的方式,也是占比最大的一种方式。假如某客户在A商业银行存入100元存款,则银行的负债增加存款100元,资产增加法定存款准备金20元、超额存款准备金80元。当银行把80元超额准备金全部发放贷款时,80元超额准备金立马变成贷款,由于客户增加了80元存款,所以银行资产端又增加了16元法定存款准备金、64元超额准备金。以此类推、不断循环。银行每次发放贷款都会创造存款,从而完成货币创造。

2)随着外汇的不断流入,银行通过购买外汇进行货币创造的方式也得到重视。在上表的基础上,银行不是发放贷款而是购买外汇,80元超额准备金变成银行的外汇资产。同样的,客户增加80元存款,银行增加16元法定准备金、64元超额准备金。然后银行可以继续用超额准备金购买外汇。银行每次购买外汇都会创造存款,从而货币创造。

3)随着金融市场的发展,银行通过购买非银行类公司债券贷款进行货币创造比重也越来越大(注意:如果银行购买的是银行债券,只会银行间超额准备金的转移,并不会增加存款从而货币创造)。和发放贷款与购买外汇类似,银行购买债券80元,资产端的超额准备金转化为债券资产。由于同时客户增加了80元存款,从而负债端存款总额为180元,资产端债券资产80元、法定准备金36元、超额准备金64元。银行每次购买债券都会派生存款,从而货币创造。

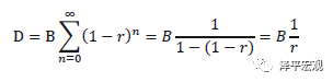
可以看出,无论银行是通过发放存款还是购买外汇或债券,都会派生出存款,形成存款-贷款/购汇/购债-派生存款-贷款/购汇/购债…的过程,从而货币创造。所以,只要有一笔存款,银行可以不断的进行货币创造,直至这笔原始存款全部转化为法定存款准备金。最终的货币创造大小受制于法定存款准备金率。

其中,D为存款总额,B为原始存款,r为法定存款准备金率。
2.3 第三层渠道:影子银行的货币创造-逃避监管下的新模式
商业银行的传统货币创造规模在理论上不仅受法定存款准备金率限制,实际中还会受到资本充足率、拨备等监管政策以及信贷政策约束。同时,由于贷款风险权重较高,并且信贷投放房地产行业、地方融资平台以及产能过剩行业方向也会被限制,这样会影响到银行的资产扩张大小,即货币创造规模,也会影响到银行的利润。因此,银行有动力把受监管较多资本消耗较高的贷款资产项目转变为受监管较少资本消耗较低的同业往来、信托收益权等资产或表外资产,同时负债项目存款不受影响,这样满足了企业的贷款需求也使自身不受众多监管约束。影子银行的货币创造渠道由此产生。
根据影子银行的对手方可以把资产项目由贷款项目转变为其他项目,以此影子银行货币创造主要分成2种渠道。
1)以商业银行为对手方的货币创造-银行同业渠道。
银行同业渠道指的是,银行并不直接向企业放贷,而是借用另一家银行的通道间接放贷,即银银合作。这样,原本该在资产方记为贷款的项目转变为同业,从而可以规避监管约束。假如,某企业向商业银行A贷款,但银行A受贷款投向限制不能直接放贷。银行A委托银行B提供通道服务-向企业提供融资,未来银行A承诺向银行B归还本金和利息。此时,由于银行A目前尚未发生资金变化,银行A的资产负债表并未发生变化,只是在表外记下还本付息的承诺;银行B提供资金,企业多了相同金额的存款,故银行B负债端增加企业的存款、资产端增加同业拆出科目,货币得到创造。

2)以非银金融机构为对手方的货币创造-非银投资渠道。
非银投资渠道指的是,银行借用非银行金融机构融出资金,非银金融机构再贷款转给企业,即银信/证/基/保/资合作。这样,可以把原本的信贷资产转为投资资产。还是上一个例子,银行A还可以委托信托公司设立一个投资于企业的信托产品。银行A通过购买该信托产品把资金转移给信托公司,信托公司再把钱转给企业。此时,银行A购买信托产品,企业多了相同金额的存款,故银行A负债端增加企业的存款、资产端增加“应收账款”或“可供出售类金融资产”科目,货币得到创造。

可以看出,影子银行虽然参与的机构种类较多,涉及的资金流向较多,但本质上来说还是借贷业务。无论交易结构如何复杂、资金链条如何复杂,资金的提供者都是银行,最终获得资金的是那些无法通过正常的表内借贷获得资金的企业。从中参与的其他机构只是起了一个“通道”的作用,获取通道费用,并没有起到实质的作用。银行才是货币创造的主体。
针对银行是货币创造的主体,要特别注意货币创造和货币转移之间的区别:
1)考虑到非保本型理财产品的资金来源于居民存款,理财产品并不能增加货币供给。
根据理财产品的风险承担可以把理财产品分为保本型理财和非保本型理财。由于保本型理财由商业银行承担风险,所以应纳入商业银行资产负债表内核算,所以不属于影子银行;而非保本型理财不需要商业银行承担风险,一般纳入商业银行资产负债表外核算,属于影子银行。
假如居民用本来存放在银行的存款购买了商业银行A的保本型理财产品,则居民的储蓄存款变成结构性存款,并没有改变货币供给。但当理财产品最终转化为企业存款时,银行资产端会增加相同金额的企业存款,从而资产负债表扩张,货币创造。若居民用存款购买了商业银行A的非保本型理财产品。则商业银行A负债端居民的存款将出表,资产端相对应的资产也将出表。考虑到理财产品最终会转变为企业的存贷款,所以最终商业银行A负债端由原来的居民存款转变为企业存款,资产端是相同金额的资产项目,货币供给并未增加。


可以发现,非保本型理财产品改变了存款结构或使存款出表,但并不会因为理财产品支持实体经济从而创造出新的存款,产生货币创造。在将理财产品出表的时候,相应的资产也会被移动出表。而那些资产才是货币创造的源头。本质上来说,非保本型理财产品只是目前尚未利率市场化的一种“高息揽储”的行为,并没有新的货币创造,也不能额外的为企业提供新的资金。当没有这些理财产品的时候,存款归回居民储蓄,一样可以进行货币创造。货币创造的关键是银行如何利用负债端融入的资金,即资产端的变化。

2)非银行金融机构出售产品给居民购买,是货币转移,并不能产生货币创造。
根据上面影子银行的介绍可以发现银行可以借用非银金融机构作为通道进行货币创造。如若非银金融机构不做通道,直接发放信托产品居民购买,然后贷款给企业会怎么样呢?
假如信托公司B通过发行信托产品从居民募集到了一定的资金。居民从银行减少存款,商业银行资产负债端减少相应金额的资金,信托公司负债端和资产端都增加相同的金额资金。然后信托将该笔资金转移给企业,信托公司的资产端由之前的货币资金转换为信托贷款资产。同时企业获得资金,企业存款增加,商业银行的资产负债端增加了相应的金额资产。
可以发现,非金融机构产品改变了存款结构,但并没有创造存款、增加货币供给,也就没有货币创造,同时,也没有让存款流出银行体系。非金融机构出售产品的行为,类似于上面的通道业务,没有影响到银行的货币创造总量,只是链条增加,涉及的机构变多。

3 中国货币创造的结构:不同渠道的规模分析
通过上文的论述我们可以发现,央行提供基础货币,商业银行对基础货币进行货币创造,产生数倍的货币供给。目前商业银行货币创造主要包括两条渠道:一是发放贷款、购买外汇、购买债券的传统渠道;一是将贷款资产转变为其他资产的影子银行渠道。由于商业银行是货币创造的主体,我们可以通过对金融机构信贷收支表的数据来分解货币创造的多种渠道,并进行分析。
3.1 货币创造规模的统计方法
通过对不同资产负债表、不同机构公开数据的比较,我们发现央行公布的《金融机构信贷收支表》是最清晰、最全面反映货币创造不同渠道规模大小,相对来说数据时间也较长。
金融机构信贷收支表是对银行类金融机构的信贷收支活动进行统计,分为资金来源和资金运用两个部分,反映了金融机构从居民、非金融企业、政府、非银行业金融机构获得的资金数量,以及向居民、非金融企业、非银行业金融机构发放的资金数量。其中机构包括中国人民银行、银行业存款类金融机构、银行业非存款类金融机构。

此表的统计原则是资金来源=资金运用,具体为:各项存款+金融债券+流通中货币+对国际金融机构负债+其他资金来源=各项贷款+债券投资+股权及其他投资+黄金占款+中央银行外汇占款+在国际金融机构资产。
即:存款+流通中货币=贷款+外汇占款+(债券投资-金融债券)+股权及其他投资+(黄金占款+在国际金融机构资产-在国际金融机构负债-其他资金来源)。
其中,“存款+流通中货币”是广义的货币创造规模,简化为广义货币;“贷款”是传统银行货币创造的发放贷款渠道,“外汇占款”是传统银行货币创造的购买外汇渠道,“债券投资-金融债券”是传统银行货币创造的购买债券渠道,简化为债券净投资,“股权及其他投资”是影子银行规避监管下的货币创造渠道;考虑到,黄金占款数量较小且金额较为稳定,在国际金融机构资产、在国际金融机构负债数量较小,其他资金来源构成尚未公布,我们将上述科目合并,简化为“其他”。
故:广义货币=贷款+外汇占款+债券净投资+股权及其他投资+其他。
这个恒等式我们称之为货币创造渠道分解公式,以下简称货币创造公式。
3.2 货币创造规模的存量分析
货币创造公式左边:从存量上来看,广义货币稳定增长。除了2014年、2015年广义货币稍微波折,2009年快速增长,其他年份包括08年金融危机广义货币总量金额较为稳定增长。

货币创造公式右边:从存量上来看,发放贷款是货币创造的主要渠道,这与我国以间接融资为主的模式相关,目前稳定增长。随着我国经济的快速发展,贷款成为经济增长的主要资金支撑渠道。目前发放贷款所创造的货币处于一个稳定增长的阶段。
2016年之前,购买外汇是货币创造的第二大渠道,目前基本保持稳定金额。中国加入WTO之后,由于“双顺差”,购买外汇创造的货币快速增长。2008年金融危机之后,我国国际收支趋于平衡,外汇占款增速放缓。到了2014年到达顶峰之后,2015年外汇占款绝对量出现趋势性下降。到了2016年才逐步稳定下来,目前绝对金额保持在21.5万亿元左右波动。
2017年4月之后,购买债券成为货币创造的第二大渠道,目前处于稳定增长阶段。货币供给新常态的一大变化就是债券净投资增速保持增长,成为第二大货币创造渠道。
影子银行货币创造在2016年曾超越外汇占款成为第二大渠道,后受严监管政策影响,目前处于下降趋势。货币供给新常态另一大变化就是影子银行货币创造的快速发展。随着影子银行的快速发展,2014年之后股权及其他投资创造的货币迎来了爆发式的增长,并且一举超过外汇占款,成为第二大渠道。后随着2016年以来的严监管、MPA考核和资管新规,在上下波动中2018年1月迎来了高点23.4万亿元之后开始快速下滑。目前绝对值金额大小已低于外汇占款,成为这四个货币创造渠道中规模最小的。

3.3 货币创造规模的增量分析
货币创造公式左边:伴随着经济下滑的需求压力和严监管的供给收缩,货币创造能力下滑,广义货币增长率目前处于历史低点。广义货币增长率波动较大,总体在8%至28%之间波动。2008年金融危机,在“四万亿”的刺激下,货币增长率一度达到27.87%,后随着经济增速换挡GDP增速下滑,融资需求下降,货币增长率也随之下滑。2016年随着监管的趋严,货币创造能力进一步下降,货币增长率在2018年8月达到历史低点8.08%。

货币创造公式右边:从增量来看,贷款保持稳定增长趋势。贷款目前仍然是新增货币供给的最主要的渠道。在2008年外汇占款大幅上涨之际,外汇占款增量与贷款增量金额接近。后金融危机爆发,国际收支格局改变,同时在四万亿的刺激下,贷款增量快速增长,自此贷款拉开与外汇占款的距离。目前贷款同比增量保持稳定增速。
从增量来看,外汇占款呈下降趋势,现在基本保持0增长。金融危机之后,中国的外部失衡状况发生了剧烈变化。贸易顺差缩减,经常账户差额占GDP比重不断缩减。2018年之后,外汇占款基本保持0增长。
从增量来看,目前债券净投资是除了贷款之外,唯一为正的同比增量。总体来看,债券净投资同比增量较为稳定。在13年监管变严之际,其增量稍有下降,后快速回升。在2015年11月达到高点5.3万亿元后,随着监管再次趋严,增量金额下降。目前稍微有回升。在外汇占款增量金额稳定0、股权及其他投资快速下降到负值之后,除了贷款增量,仅债券净投资同比增量为正,贷款和债券成为目前新增货币的仅有的两种渠道。
从增量来看,股权净投资增量在趋近贷款增量之后,快速下滑到负值。在2014年之前股权及其他投资同比增量稳定增长。后随着同业链条、通道链条的快速发展,股权及其他投资同比增量快速发展。2015年成为第二大货币供给增量渠道。到2016年10月,增长到9.7万亿元,接近贷款同比增量的12万亿元。后随着金融去杠杆、资管新规等严监管,快速下滑到负增长,成为拖累货币供给增长的一大渠道。企业存款同比增速的变化也反应这一现象,在影子银行快速发展之际,企业存款快速增长,严监管之下,快速回落。2018年之后,随着企业存款增速大幅跳水、居民存款增速相对有所回升。


总而言之,从存量上看,发放贷款是货币创造的主要渠道,2017年4月之后,购买债券成为第二大渠道。2016年之前购买外汇是第二大渠道。2016年影子银行快速发展曾经超越过外汇占款成为第二大渠道,目前是这四个渠道中规模最小的。从增量来看,货币创造能力下降,货币供给增长率处于历史低点,贷款和债券成为目前新增货币的仅有的两种渠道。贷款仍是最主要的渠道;债券净投资有所下降,目前稍有回升;外汇占款保持0增长;影子银行成为拖累货币供给增长的一大原因。在2015年影子银行货币创造成为第二大增量渠道,甚至2016年10月接近贷款增量,后随着监管的不断趋严,资管新规出台,目前下滑至负增长。
4 货币创造渠道的变化对货币政策的建议
短短的10年时间,货币创造渠道不断发生着变化,贷款稳定增长、外汇趋势下滑、债券逐渐崛起、影子银行快速崛起之后快速回落。货币创造渠道的动态变化需要货币政策的不断变化来相配合。
4.1 货币创造渠道的变化对货币政策的挑战
货币创造渠道的变化改变了货币供给也改变了货币需求,同时增加了金融市场的不稳定性,增加了货币政策调控难度。
第一,随着金融创新,货币创造渠道通过货币乘数改变了货币供给,增加了央行调整法定存款准备金率来改变货币乘数从而改变货币供给的难度。总体来看,存款准备金率从2000年的6%增加到2018年9月的15.5%,货币乘数不降反升,从3.84增加到5.67。随着影子银行的快速发展,带动了金融产品的不断创新,由于金融产品的收益率比存款、现金要高,居民持有通货的意愿降低、银行超额准备金率降低,货币乘数变大。在影子银行快速发展的2011年,虽然存款准备金率并未调整,但是货币乘数仍然在上升。

第二,创新型金融工具的不断出现,促使人们货币需求减少,非货币性金融资产需求增加,从而使调整货币需求的货币政策有效性降低。金融创新改变了人们流动性需求的构成结构。根据凯恩斯学派,投资性货币需求会上升,由于投资性需求源于人们的预期,较为不稳定,导致货币需求的不稳定,从而增加金融市场的混乱,也加大了货币政策的调控难度。根据货币学派的观点,金融工具的出现,很多产品收益率较高增加了持有货币的机会成本,收益率一直接近的1年期国债到期收益率和定存目前利差也扩大化,降低了人们资产中货币的比重,影响了货币政策的有效性。

第三,高杠杆少监管的影子银行体系增加了金融市场的不稳定性,从而增加了货币政策的系统性风险,增加调控难度。一方面,银行理财产品已经成为商业银行应对央行货币政策调控的重要手段。2008年以来,理财产品规模与法定存款准备金率同向变动,表明随着准备金率的上调资金面趋紧,银行开始大量发行理财产品调整流动性,削弱降准对资金面的影响。另一方面,理财产品的快速发展容易引起金融市场不稳定。我们可以发现股权及其他投资增量增长速度非常快,几年时间基本从0增量增长到接近贷款增量金额。由于一些货币政策是通过金融体系再传导至实体经济,金融体系的不稳定直接影响到货币政策的实施效果。2008年的金融危机就是影子银行的次级贷款导致的。目前中国影子银行主要是类信贷业务为主,未来如若发展出类证券业务,会进一步加大金融市场的波动,增加政府调控的难度。

4.2 货币创造渠道的变化对货币政策的建议
货币政策的流动性管理方面,不仅要关注M2还要关注社融、货币创造的其他渠道。M2指标失效表面是货币和实体经济关联性下降,本质是随着经济结构的调整,货币创造的渠道发生了根本性变化。在其他货币创造渠道不断变化之际,一方面,可以通过关注社融等数据在经济短期预测中发挥作用,另一方面,可以发展包含资本市场流动情况的M3、M4指标,将资本市场、衍生品市场发展情况纳入流动性监管指标。
抓住外汇占款总额稳定阶段,建立价格型货币政策调控体系,推进利率市场化改革。外汇占款金额稳定,债券投资和股权及其他投资受金融市场和监管影响较大,央行应该抓住货币金融政策主导期,在管理好流动性的同时,注意利率期限搭配引导市场合理的中长期利率。另一方面,高收益率的产品出现,说明居民想获得高于存款的收益率同时银行有能力负担高成本的成本,反映市场对利率市场化的需求。利率双轨化下,政策利率可以传导至金融市场但难以传导至信贷市场。同时在利率市场化下,有利于金融体系内部去杠杆,高速增长的影子银行风险也会随之化解。
完善宏观审慎,在不打击支持实体经济的影子银行借贷的情况下守住影子银行膨胀带来的金融风险。中国的影子银行和美国的影子银行特征、运作模式、风险水平存在很大的差异。美国影子银行是1970年混业经营中发展起来的高杠杆操作、高风险操作、高期限错配、低透明度等模式,通过证券化衍生品获取资金,给金融稳定和经济发展带来了巨大负面影响。中国是信贷主导的中介模式获取监管套利,是传统金融的补充,并不涉及复杂的金融衍生品。风险点在于产品设计的不合理带来的流动性风险、期限错配风险和收益错配风险,以及参与主体中的过剩产业、房地产产业、地方融资平台等顺周期行业所带来的信用风险。不可否认,其发展客观上缓解了金融系统长期存在的中小微企业融资难、融资贵问题,完善了信贷市场发展,美国影子银行最初发展也对美国经济发展起来了重要而积极的正面作用。在守住金融系统风险时,客观看待,切不可“一刀切”的全盘否定,需加强监管和制度约束,引导影子银行向合规、健康、可持续的方向发展。

发展直接融资市场,建立多层次资本市场。目前我国以间接融资为主,且短期难以改观。在未来转型中,可以继续推动直接融资市场发展:第一,完善注册制制度,加强监管和退市制度,提高资源配置效率,让股市真正成为经济的晴雨表;第二,打破刚性兑付,建立可信的、市场的评级定价机制,让债券成为实体经济融资的一个主要工具;第三,建立多层次资本市场,加强板块间分工明确,满足不同企业和投资者的投融资需求。